Beschreibung
Chemie-Vakuumsystem
Chemie-Membranpumpen von VACUUBRAND für aggressive Gase und Dämpfe gibt es in der Basisausführung, mit Zweipunkt- oder VARIO®-Regelung. Durch den Einsatz hochwertiger Fluorkunststoffe haben die ölfreien Vakuumpumpen eine kompromisslose chemische Beständigkeit.
✔ hervorragende Chemikalien- und Kondensatverträglichkeit
✔ hohes Saugvermögen bis nahe an das Endvakuum
✔ sehr gutes Endvakuum auch mit geöffnetem Gasballastventil
✔ sehr leiser und vibrationsarmer Betrieb
✔ ausgezeichnete Umweltverträglichkeit durch effiziente Lösemittelrückgewinnung
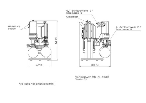
Dieses Chemie-Vakuumsystem findet ein breites Anwendungsgebiet zum Evakuieren, Eindampfen und Abpumpen von Gasen und Dämpfen. Es ist ideal bei erhöhten Vakuumanforderungen zum Beispiel mit hochsiedenden Lösemitteln. Typische Anwendungen sind Rotationsverdampfer, Trockenschränke und viele andere Laborvakuumanwendungen. Der saugseitige Abscheider (AK) aus Glas mit Schutzbeschichtung hält Partikel und Flüssigkeitströpfchen zurück. Der druckseitige Emissionskondensator (EK) ist besonders wirksam und kompakt. Er ermöglicht die nahezu hundertprozentige Rückgewinnung von Lösemitteln für deren wirtschaftliche Wiederverwendung und zum Schutz der Umwelt.
Chemie-Membranpumpen von VACUUBRAND für aggressive Gase und Dämpfe gibt es in der Basisausführung, mit Zweipunkt- oder VARIO®-Regelung.
Technische Daten
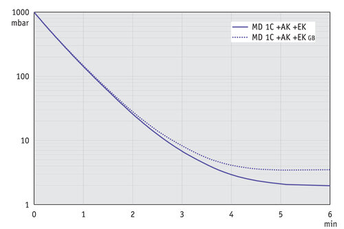
Endvakuum 2 mbar
Saugvermögen 1.3 m3/h
Pumpstand komplett montiert, betriebsfertig, mit Anleitung.
Artikelnummer: 20696620 | P10
EC Class Number: 36432302
Zolltrarifnummer: 84141089
WEEE Reg.-Nr. EAR: DE 11956459




